有序表-AVL树
AVL 树基本介绍
具有最严苛的平衡性。任何一个节点,其左树与右树的高度差不超过 1,即小于 2 。
AVL 在加入和删除节点时与搜索二叉树相同,但在节点操作之后要进行相应的平衡操作。
搜索二叉树如何删除节点?找到待删除节点的右子树的最左节点(左树上的最右节点也行)来替换这个节点。
基本术语
平衡因子(平衡度):即左子树的高度减去右子树的高度。
AVL 树的平衡性破坏原因

LL 型
即左子树的左子树过长导致高度差过大。只做一次右旋即可;
LR 型
左子树的右子树过长导致平衡性破坏。想办法让这个右子树(孙子)来到头节点的位置。先以左子树为头进行左旋,再对旋转上来的右子树(原来的孙子,现在成了儿子)为头进行右旋;
RR 型
同理,做一次左旋即可;
RL 型
同理。想办法让这个左子树(孙子)来到头节点的位置。先以右子树为头进行左旋,再对旋转上来的左子树(原来的孙子,现在成了儿子)为头进行左旋;
LL+LR 型
怎么理解?看例子。按照 LL 型进行调整,默认其为 LL 型;
实例:

LL 型和 LR 型:


AVL 树加入删除操作后如何检查平衡性:
- 加入节点。当加入节点成功之后,从这个节点开始往上每一个节点都查一遍——查父亲,查爷爷,查太爷爷,查……直到发现不平衡或者遍历到头了。这种调整的最差时间复杂度为
; - 删除节点:
- 当这个待删除节点没有左右孩子的时候,与加入节点的检查相同;
- 只有右孩子,那就以这个被替换上来的右孩子向上查;
- 既有左孩子,又有右孩子。以这个被替换上来的右孩子原来的位置向上查;
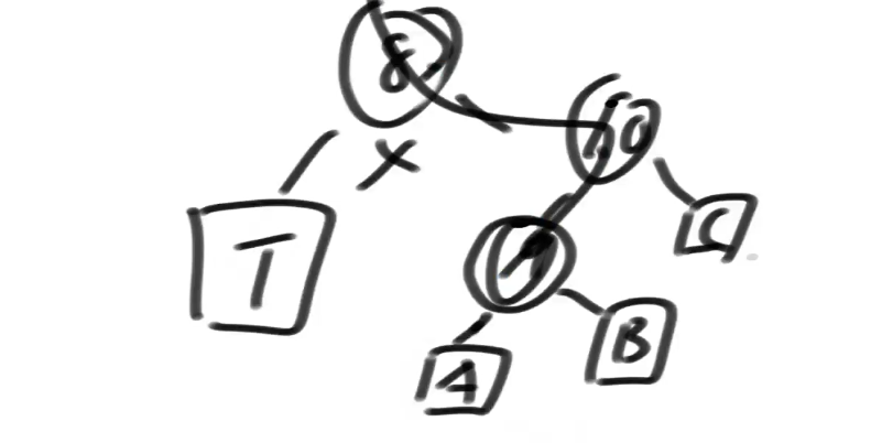
删除节点实例:

假设要删除 7,那么就以 8 替换这个 7,于是变成了:

从 9 开始