有序表-综述
系统使用细节
有序表在 java 中就是 TreeMap。c++中就是 map。
- 其添加删除的时间复杂度为
,相较于哈希表略高; - 与哈希表类似,其内部的 key-value 也有相同的存储方式,按值或者按照引用传递;
- 可以查询最小最大的 key,附近的 key,这些是哈希表没有的功能;
- 对于非基础类型已经其包装类,需要自己定制比较器,否则会报错;
- 哈希表适合单点查询,而有序表适合于查询多个数据,并且保证这些数据是有序。
二叉搜索树 - BST
二叉搜索树就是二叉排序树。各种复杂的具体有序表都是 BST 的优化,所以,了解 BST 是必要的。
有序表-BST
二叉搜索树的瓶颈
注意: 搜索二叉树不接受重复的数据。
当数据极端的时候,会导致搜索二叉树不平衡,从而极大的降低二叉搜索树的效率。
所以为了解决这个问题,平衡搜索二叉树就出现了。
平衡二叉树
不论是什么搜索二叉树,让其变得平衡的基本动作就是左旋和右旋,但是其使用的策略各不同,所以其平衡性也不一样。时间复杂度都是
我们进行旋转的基本目标有两个:
- 让树的高度减小;
- 让二叉树的中序遍历不变;
而让这颗二叉树变得平衡的操作就是耳熟能详的左旋和右旋。
- 左旋和右旋的时间复杂度都为
,只设计有限的几个节点的操作; - 左旋和右旋不会破坏搜索树的性质,并且能够很大程序的减少二叉搜索树的高度,从而提高了搜索的高度。
旋转操作
左旋转
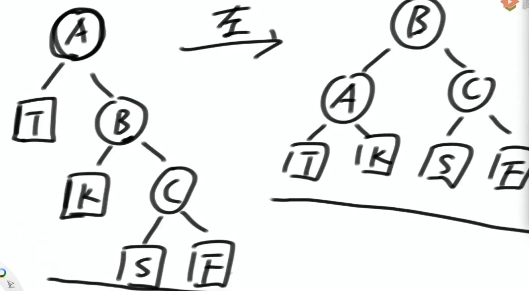
先指定某个头节点,在某个头节点左旋。某个节点左旋就是这个节点往左边倒下去,也就是右子树上来。

右旋转
以某个节点为头,该节点往右边倒,其左孩子的右孩子变为了这个节点的左孩子。

常见平衡搜索二叉树
Java JDK 中的有序表有诸多瓶颈,只能进行相当有限的操作。最致命的缺点就是不能保存重复值。所以,以下的一些有序表可以很大程度上的规避这个问题: